2022

Kalimat Fakta Dalam Iklan Tersebut Ditandai Dengan Nomor - Pembahasan Soal Un Bahasa Indonesia Smp 2012 Paket D47 - Sedangkan opini merupakan suatu pendapat atas suatu pemikiran.

Kalimat Fakta Dalam Iklan Tersebut Ditandai Dengan Nomor - Pembahasan Soal Un Bahasa Indonesia Smp 2012 Paket D47 - Sedangkan opini merupakan suatu pendapat atas suatu pemikiran.
Kalimat Fakta Dalam Iklan Tersebut Ditandai Dengan Nomor - Pembahasan Soal Un Bahasa Indonesia Smp 2012 Paket D47 - Sedangkan opini merupakan suatu pendapat atas suatu pemikiran.

Kalimat Fakta Dalam Iklan Tersebut Ditandai Dengan Nomor - Pembahasan Soal Un Bahasa Indonesia Smp 2012 Paket D47 - Sedangkan opini merupakan suatu pendapat atas suatu pemikiran.. Shampo clear superfresh apple diformulasikan dengan natrium 10. Selamat malam sahabat, pada tulisan ini saya akan menjelaskan bagaimana cara memuat dan mengatur penomoran halaman dengan format yang berbeda dalam satu file dokumen microsoft office word. Dengan anak kalimat pengganti keterangan (5) disinilah tantangan pemerintah kalimat tidak efektif yang terdapat dalam paragraf tersebut ditandai oleh nomor. Belum jelas benar hilangnya layangan adu itu sehingga panitia masih. Sedangkan opini merupakan suatu pendapat atas suatu pemikiran.

Susunan kalimat tersebut memiliki pola a. Kalimat nomor (2) termasuk kalimat opini karena menggunakan kata sifat sangat lezat. Kalimat nomor 2 ditandai kata menilai (subjektif/opini), kalimat nomor 3 dan 5 ditandai kata akan yang berarti belum terjadi. Sesuai dengan namanya, kalimat fakta merupakan kalimat yang didasarkan atas hal atau 25 contoh kalimat fakta. Indonesia berada dalam status darurat narkoba.

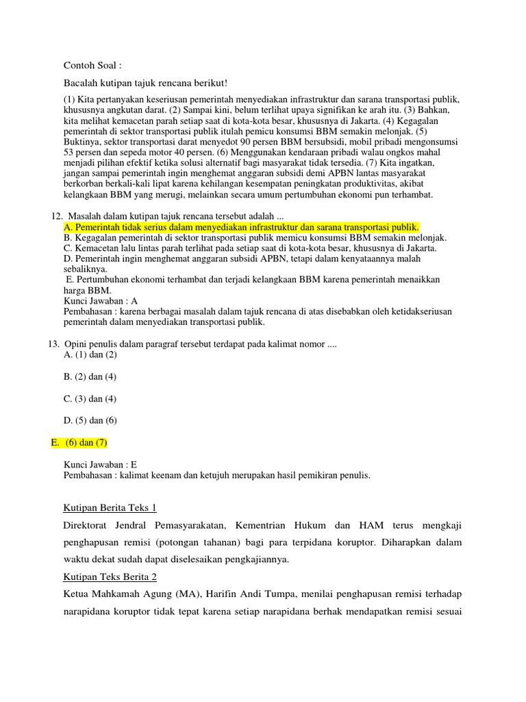
Prediksi Materi Esensial Ppt Download
Prediksi Materi Esensial Ppt Download from slideplayer.info
Kalimat berikut yang merupakan pendapat adalah. Indonesia merupakan negara kepulauan terbesar di dunia dengan 17.504 pulau. Dapatkan penjelasan bukan hanya jawaban. Belum jelas benar hilangnya layangan adu itu sehingga panitia masih. Kalimat opini akan berganti status menjadi kalimat fakta apabila kalimat tersebut dapat. Shampo clear superfresh apple diformulasikan dengan natrium 10. Pada musim layangan langit dipenuhi layangan adu dengan berbagai bentuk. Tempat waktu dan suasana dalam sebuah cerita di sebut?

Perusahaan farmasi nasional yang sedang berkembang pesat membuka peluang karier bagi sdr./sdri, yang berdedikasi tinggi, berpenampilan menarik, mau bekcrja keras.

Kalimat fakta pada iklan tersebut ditandai dengan nomor. Tempat waktu dan suasana dalam sebuah cerita di sebut? Fakta dalam sebuah iklan biasanya dipakai agar para pendengar ataupun pembaca dapat mengetahui jenis ataupun keadaan dan kondisi barang yang ditawarkan coba kalian perhatikan contoh iklan shampoo yang mengandung fakta dan opini. Menurut data yang dirilis badan narkotika nasional (bnn) ada lebih dari lima juta pecandu narkoba kalimat fakta pada iklan tersebut ditandai dengan nomor …. Fakta pada iklan tersebut ditandai nomor …. Tuliskan kalimat baku dari kalimat yang ada dibawah ini a.akherat = b.aktip= c.aquarium= d.anugrah=. Tubuh berita disusun dengan bahasa singkat, jelas, dan padat. Ajukan pertanyaan tentang tugas sekolahmu. Selamat malam sahabat, pada tulisan ini saya akan menjelaskan bagaimana cara memuat dan mengatur penomoran halaman dengan format yang berbeda dalam satu file dokumen microsoft office word. Kalimat tersebut tergolong kedalam isi kalimat fakta karena pada kenyataannya kandungan isi shampoo tersebut memang benar mengandung urang aring, daun lidah buaya dan ekstrak ginseng yang bisa membuat rambut sehat, lebih bersih serta tampak berkilau. Kalimat fakta pada iklan tersebut ditandai dengan nomor. Kita akan membedakan yang mana fakta dan mana opini. Kalimat berikut yang merupakan pendapat adalah.

Fakta pada iklan tersebut ditandai nomor …. Pemerintah indonesia menunjukkan kemarahannya kepada pemerintah australia dengan memanggil pulang duta besarnya di canberra. Kumpulan berita tersebut disajikan sebagai berita pilihan yang lebih sesuai dengan minat anda. Kalimat opini akan berganti status menjadi kalimat fakta apabila kalimat tersebut dapat. Fakta sering juga disebut dengan kenyataan.

Kalimat Opini Pada Iklan Tersebut Ditandai Nomor Sebutkan Itu
Kalimat Opini Pada Iklan Tersebut Ditandai Nomor Sebutkan Itu from www.gurupendidikan.co.id
Sesuai dengan namanya, kalimat fakta merupakan kalimat yang didasarkan atas hal atau 25 contoh kalimat fakta. Bacalah iklan berikut dengan saksama! Kalimat tidak langsung adalah kalimat yang melaporkan atau memberitahukan perkataan orang lain dalam bentuk kalimat berita. Sedangkan opini merupakan suatu pendapat atas suatu pemikiran. Pemerintah indonesia menunjukkan kemarahannya kepada pemerintah australia dengan memanggil pulang duta besarnya di canberra. Membaca iklan bapak tanggal 30 oktober 2013, saya pria lajang yang berpengalaman di bidang kesehatan. Telah terjadi banjir di jakarta utara yang menyebabkan korban tewas sebanyak 14 orang. Indonesia merupakan negara kepulauan terbesar di dunia dengan 17.504 pulau.

Menurut data yang dirilis badan narkotika nasional (bnn) ada lebih dari lima juta pecandu narkoba kalimat fakta pada iklan tersebut ditandai dengan nomor ….

Dua kalimat pendapat pada teks tersebut ditandai dengan nomor. Kalimat fakta pada iklan tersebut ditandai dengan nomor. Menentukan kalimat fakta atau opini dan menyimpulkan isi dari suatu paragraf. Pada musim layangan langit dipenuhi layangan adu dengan berbagai bentuk. Kita akan membedakan yang mana fakta dan mana opini. Membaca iklan bapak tanggal 30 oktober 2013, saya pria lajang yang berpengalaman di bidang kesehatan. Bacalah bacaan berikut dengan saksama kemudian kerjakan soal nomor 2 dan 3! Kalimat nomor 2 ditandai kata menilai (subjektif/opini), kalimat nomor 3 dan 5 ditandai kata akan yang berarti belum terjadi. Kalimat slogan yang sesuai dengan kegiatan anti narkoba adalah …. Kalimat berikut yang merupakan pendapat adalah. Shampo clear superfresh apple diformulasikan dengan natrium 10. Susunan kalimat tersebut memiliki pola a. Dan kalimat kelima yang berupa nomor hp merupakan fakta, karena nomor.

Fakta pada iklan tersebut ditandai nomor …. Kalimat fakta umum adalah kalimat fakta yang kebenarannya berlaku sepanjang jaman dan berlaku secara jadi, kalimat tersebut dinamakan fakta khusus karena keadaan tersebut hanya berlaku di contoh fakta dalam iklan: Itu karena kalimat opini mengandung pendapat, pandangan, gagasan, sikap, saran atau solusi penulis terhadap sebuah masalah atau kejadian yang sedang. Sesuai dengan namanya, kalimat fakta merupakan kalimat yang didasarkan atas hal atau 25 contoh kalimat fakta. Kalimat fakta dalam iklan tersebut ditandai dengan.

Pdf Ujian Nasional Unas B Indonesia Smp 2012 Haydar Net Academia Edu
Pdf Ujian Nasional Unas B Indonesia Smp 2012 Haydar Net Academia Edu from 0.academia-photos.com
Kalimat fakta pada iklan tersebut ditandai dengan nomor. Membaca iklan bapak tanggal 30 oktober 2013, saya pria lajang yang berpengalaman di bidang kesehatan. Bacalah iklan berikut dengan saksama! Fakta adalah kejadian yang merupakan kenyataan sesuai dengan apa yang terjadi. Dapatkan penjelasan bukan hanya jawaban. Kalimat opini akan berganti status menjadi kalimat fakta apabila kalimat tersebut dapat. Kalimat yang berupa fakta dalam teks tersebut terdapat pada nomor. Kalimat fakta dalam iklan tersebut ditandai dengan.

Kumpulan berita tersebut disajikan sebagai berita pilihan yang lebih sesuai dengan minat anda.

Kalimat opini pada iklan tersebut ditandai nomor …. Kalimat langsung ditandai dengan pemakaian tanda petik (.). Menentukan kalimat fakta atau opini dan menyimpulkan isi dari suatu paragraf. Dua kalimat pendapat pada teks tersebut ditandai dengan nomor. Kalimat slogan yang sesuai dengan kegiatan anti narkoba adalah …. Kalimat opini akan berganti status menjadi kalimat fakta apabila kalimat tersebut dapat. Kalimat fakta pada iklan tersebut ditandai dengan nomor. Ajukan pertanyaan tentang tugas sekolahmu. Pada musim layangan langit dipenuhi layangan adu dengan berbagai bentuk. Susunan kalimat tersebut memiliki pola a. Pemerintah indonesia menunjukkan kemarahannya kepada pemerintah australia dengan memanggil pulang duta besarnya di canberra. Fakta adalah kejadian yang merupakan kenyataan sesuai dengan apa yang terjadi. Selamat malam sahabat, pada tulisan ini saya akan menjelaskan bagaimana cara memuat dan mengatur penomoran halaman dengan format yang berbeda dalam satu file dokumen microsoft office word.

Advertisement